Skip to content Skip to sidebar Skip to footer

Widget HTML #1

Williamson Ether Synthesis Stereochemistry - Ch 18 Ethers And Epoxides Renee Y Becker : Nomenclature and preparation of epoxides.

Williamson Ether Synthesis Stereochemistry - Ch 18 Ethers And Epoxides Renee Y Becker : Nomenclature and preparation of epoxides.. The mechanism of williamson ether synthesis. The most important method of synthesis of ethers is by the method of williamson synthesis. Alternatively, cyclopentyl methyl ether may be synthesized from cyclopentene. It contains plenty of examples a. The williamson ether synthesis is a common reaction in the field of organic chemistry in industrial synthesis and in undergraduate teaching laboratories.

It is a convenient method for the synthesis of symmetrical as well as unsymmetrical ethers in a laboratory or on a commercial level. Alternatively, cyclopentyl methyl ether may be synthesized from cyclopentene. Competition from elimination and rearrangement. Provide the mechanism and stereochemistry if applicable. There just isn't a simpler way out there to make an ether.

Unexpected Course Of A Williamson Ether Synthesis Pdf Free Download
Unexpected Course Of A Williamson Ether Synthesis Pdf Free Download from docplayer.net
Provide the mechanism and stereochemistry if applicable. The structure of ethers was proved due to this chemical reaction. The mechanism of williamson ether synthesis. 100% (181 ratings) problem details. Provide the mechanism and stereochemistry if applicable. Using the williamson ether synthesis, show a synthetic route (complete with reagents) that efficiently produces each ether below. In an sn 2 reaction, the halide has to be either a methyl, primary or secondary. Williamson ether synthesis is not an exception to this rule and the reaction is set in motion by the backside attack of the nucleophile.

Williamson ether synthesis method is a sn 2 reaction, a nucleophilic substitution reaction.

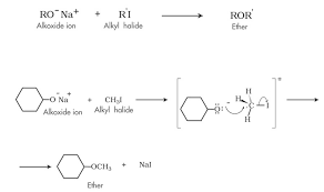
Williamson ether synthesis usually takes place as an sn2 reaction of a primary alkyl halide with an alkoxide ion. Mechanistically, the williamson ether synthesis outlined above is: Reactions 1 and 2 below are two examples of this procedure. The williamson ether synthesis is a common reaction in the field of organic chemistry in industrial synthesis and in undergraduate teaching laboratories. It contains plenty of examples a. Williamson ether synthesis is not an exception to this rule and the reaction is set in motion by the backside attack of the nucleophile. One important procedure, known as the williamson ether synthesis, proceeds by an s n 2 reaction of an alkoxide nucleophile with an alkyl halide. Ethers are usually prepared from alcohols or their conjugate bases. What kind of mechanism is employed? Symmetrical ethers can be prepared by treating the corresponding alcohol with a strong acid limitations: Outline a synthesis of cyclopentyl methyl ether from cyclopentene. S n 2 reactions are characterized by the inversion of stereochemistry at the site of the leaving group. Competition from elimination and rearrangement.

Nomenclature and preparation of epoxides. Alternatively, cyclopentyl methyl ether may be synthesized from cyclopentene. K o h c) 1. Symmetrical ethers can be prepared by treating the corresponding alcohol with a strong acid limitations: 100% (181 ratings) problem details.

Https As Vanderbilt Edu Chemistry Rizzo Chem220b Chapter 18 Pdf
Https As Vanderbilt Edu Chemistry Rizzo Chem220b Chapter 18 Pdf from
The structure of ethers was proved due to this chemical reaction. Ethers by intermolecular dehydration of alcohols and alkene addition, limitations synthesis of sulfides acid cleavage of ethers preparation of epoxides: It is a convenient method for the synthesis of symmetrical as well as unsymmetrical ethers in a laboratory or on a commercial level. Williamson ether synthesis method is a sn 2 reaction, a nucleophilic substitution reaction. It contains plenty of examples a. 8.!provide the reagents needed to complete each reaction. Williamson ether synthesis is not an exception to this rule and the reaction is set in motion by the backside attack of the nucleophile. Alternatively, cyclopentyl methyl ether may be synthesized from cyclopentene.

11b.1 show the starting materials you would use to make the following using the williamson ether.

Include stereochemistry where relevant a) 1. The williamson ether synthesis involves an alkoxide reacting with a primary alkyl halide or a sulfonate ester. Alkoxides consist of the conjugate base of an alcohol and are comprised of an r group bonded to an oxygen atom. Competition from elimination and rearrangement. Williamson ether synthesis reaction of metal alkoxides with alkyl halides or tosylates to give ethers. S n 2 reactions are characterized by the inversion of stereochemistry at the site of the leaving group. Williamson ether synthesis is a reaction that uses deprotonated alcohol and an organohalide to form an ether. K o h c) 1. Williamson ether synthesis ethers (though not epoxides) can be synthesized by reacting an alkoxide nucleophile with a good alkyl electrophile. This organic chemistry video tutorial provides a basic introduction into the williamson ether synthesis reaction mechanism. Is a reaction where a ether is formed from a ____ and a _____ under what conditions. The mechanism of williamson ether synthesis. Must be symmetrical works best for 1° alcohols 115 18.3:

The first step consists of forming an alkoxide ion by the deprotonation of the alcohol by a chosen base. Williamson ether synthesis is not an exception to this rule and the reaction is set in motion by the backside attack of the nucleophile. Ring opening reactions of epoxides: The structure of ethers was proved due to this chemical reaction. Is a reaction where a ether is formed from a ____ and a _____ under what conditions.

Is Williamson Ether Synthesis An Sn1 Or Sn2 Reaction Socratic
Is Williamson Ether Synthesis An Sn1 Or Sn2 Reaction Socratic from useruploads.socratic.org
Peracids, intramolecular williamson synthesis ring opening of epoxides, acidic, basic, mechanism, regiochemistry, stereochemistry reaction of grignards and lithium reagents with epoxides, mechanism The first step consists of forming an alkoxide ion by the deprotonation of the alcohol by a chosen base. The mechanism of williamson ether synthesis. Ethers by intermolecular dehydration of alcohols and alkene addition, limitations synthesis of sulfides acid cleavage of ethers preparation of epoxides: Provide the mechanism and stereochemistry if applicable. Williamson ether synthesis usually takes place as an sn2 reaction of a primary alkyl halide with an alkoxide ion. The williamson ether synthesis is a common reaction in the field of organic chemistry in industrial synthesis and in undergraduate teaching laboratories. The mechanism of williamson ether synthesis.

Mechanistically, the williamson ether synthesis outlined above is:

Draw the products of the following reactions. Williamson ether synthesis is not an exception to this rule and the reaction is set in motion by the backside attack of the nucleophile. The mechanism of williamson ether synthesis. S n 2 reactions are characterized by the inversion of stereochemistry at the site of the leaving group. The structure of ethers was proved due to this chemical reaction. What kind of mechanism is employed? Mechanistically, the williamson ether synthesis outlined above is: 100% (181 ratings) problem details. Alkoxides and alkyl halides should be. The mechanism of williamson ether synthesis. The williamson ether synthesis is a common reaction in the field of organic chemistry in industrial synthesis and in undergraduate teaching laboratories. Alternatively, cyclopentyl methyl ether may be synthesized from cyclopentene. In sn 2 reactions, there is no intermediate step, rather the continuous bonds that are formed and broken, which shows that this a bimolecular reaction.

The most important method of synthesis of ethers is by the method of williamson synthesis williamson ether synthesis. The mechanism of williamson ether synthesis.